В СК «Родина» в Екатеринбурге с 28 августа по 1 сентября прошли соревнования по тайскому боксу (муайтай) в рамках XI летней Спартакиады учащихся России.

ФОТОГАЛЕРЕЯ1 – по ссылке.
ФОТОГАЛЕРЕЯ2 – по ссылке.
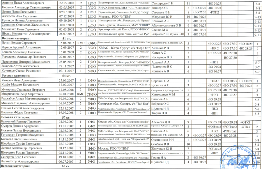
Более полутора сотен юных спортсменов (возраст участников 14-15 лет) разыграли десять комплектов наград: в восьми весовых категориях у юношей, в двух – у девушек.
Юноши (14-15 лет)
До 42 кг
1. Богдан Кужель (Приморский край)
2. Тимофей Маковец (Иркутская область)
3. Николай Беленков (Красноярский край) и Андрей Сбитнев (Кемеровская область – Кузбасс)
До 45 кг
1. Артем Шахламджян (Краснодарский край)
2. Матвей Волков (Нижегородская область)
3. Максим Синицын (Ульяновская область) и Роман Кожевников (Пермский край)

До 48 кг
1. Андрей Кулиев (Иркутская область)
2. Вадим Мударисов (Республика Башкортостан)
3. Егор Коваль (Московская область) и Алим Хасбулатов (Республика Дагестан)
До 51 кг
1. Богдан Петин (Краснодарский край)
2. Арсений Чернов (ХМАО-Югра)
3. Александр Бойков (Кемеровская область – Кузбасс) и Александр Горуленко (Иркутская область)

До 54 кг
1. Иван Яковлев (Новосибирская область)
2. Максим Крафт (Кемеровская область – Кузбасс)
3. Станислав Мухортых (Москва) и Эмир Мисриханов (Республика Дагестан)
До 57 кг
1. Ратмир Бахотский (Омская область)
2. Даниял Омаров (Новосибирская область)
3. Замир Искаков (ХМАО-Югра) и Георгий Гоголаури (Краснодарский край)

До 60 кг
1. Никита Филинских (Челябинская область)
2. Артем Чугарин (Пермский край)
3. Владимир Бушин (Краснодарский край) и Илья Староверов (Красноярский край)
До 63,5 кг
1. Григорий Васильков (Красноярский край)
2. Денис Иванов (Пермский край)
3. Давид Каргинов (Свердловская область) и Матвей Неретин (Челябинская область)

Девушки (14-15 лет)
До 48 кг
1. Карина Патрина (Иркутская область)
2. Анастасия Христюкова (Самарская область)
3. Галина Белогубова (Кемеровская область – Кузбасс) и Маргарита Ропало (Санкт-Петербург)
До 54 кг
1. Софья Чечеткина (Свердловская область)
2. Виктория Федюхина (Челябинская область)
3. Виталина Диденко (Забайкальский край) и Полина Соколова (Красноярский край)

















